Duże średnice złączy
Większość popularnych systemów złączy przemysłowych, dostępnych jest w rozmiarach do 10 cali. Dla przykładu w systemie Storz największe jest złącze z króćcem do węża Ø 258 mm, o rozstawie zaczepów 278 mm, a w systemie Camlock największy dostępny rozmiar to DN 200, dla węży o wewnętrznej średnicy 200 mm.
Największymi złączami stosowanymi w przemyśle, które mamy dostępne, są złącza dźwigniowe produkcji włoskiej fabryki OMVE, czyli złącza ANFOR, które są w rozmiarze nawet 16”, czyli około 400 mm. Komplet złączy połączonych ze sobą w tym rozmiarze, jest niemal tak wysoki jak dorosły człowiek.

W przemyśle stosuje się duże średnice rur, węży etc. do przesyłu cieczy z kilku kluczowych powodów, przede wszystkim z powodu ich wyższej przepustowości w porównaniu do rur o mniejszych średnicach. Przepustowość, czyli ilość cieczy, która może przepłynąć przez rurę w danej jednostce czasu, jest kluczowym parametrem, zwłaszcza w systemach, gdzie wymagany jest transport dużych objętości cieczy.
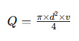
Przepustowość rury, węża, czy też złącza zależy głównie od średnicy. Im większa średnica, tym większa przepustowość. Tą zależność można wyrazić za pomocą równania na przepływ w rurze, które przyjmuje postać:
gdzie Q to przepływ objętościowy (na przykład w m³/h), d to średnica wewnętrzna rury lub węża (w metrach), a v to średnia prędkość przepływu cieczy (w metrach na sekundę).
Porównanie ze sobą złączy o różnej średnicy (często oznaczane również jako DN) pokazuje, że te o Ø 16" mają znacznie większą przepustowość w porównaniu do złączy o Ø 6". Zastosowanie takiej dużej średnicy pozwala na przepływ większej ilości cieczy przy tej samej prędkości przepływu, co jest szczególnie istotne w przemyśle, (ale nie tylko) gdzie konieczne jest szybkie transportowanie dużych objętości cieczy.

Jeżeli założymy, że prędkość przepływu v jest taka sama w obu rurach, przepływ przez rurę 16" będzie znacznie większy, ponieważ pole powierzchni przekroju jest większe. Oznacza to, że w tym samym czasie złączem 16" przetransportujemy 7 razy więcej cieczy, albo że tą samą ilość medium, prześlemy 7 razy szybciej. Użycie dużych średnic w transporcie przemysłowym sprawdza się głównie ze względu na ich zdolność do przewożenia dużych ilości cieczy w krótkim czasie, co jest ekonomicznie i technicznie efektywne w systemach przemysłowych o wysokim zapotrzebowaniu na przepływ.
W budowie takich wysokoprzepustowych instalacji najczęściej stosuje się połączenia gwintowane, skręcane, czy spawanie, które niestety są obarczone utrudnioną obsługą wymagającą użycia dodatkowego osprzętowania. Nawet system rozłączny złączy kołnierzowych, wymaga dużego nakładu czasu, dodatkowego osprzętowania i zaangażowania większej ilości pracowników przy obsłudze, dlatego często są traktowane jako złącza stałe, będącą alternatywą dla spawania.
Wychodząc na przeciw potrzebom przemysłu, włoska fabryka specjalizująca się początkowo w produkcji złączy, obejm i sprzętu do hodowli zwierząt, rozpoczęła wytwarzanie złączy przemysłowych o dużej średnicy. Przedsiębiorstwo powstało w 1955 roku, początkowo pod nazwą „Anfor” di Vezzani & Benatti, ale już w 1966 roku, przyjęło obecną nazwę i znak towarowy OMV, a jeden z systemów swoich połączeń dźwigniowych oferuje pod nazwą właśnie "ANFOR".

Fot. Fabryka OMV
Dzięki solidnej wiedzy zdobytej przez wiele lat doświadczenia „w terenie”, zespół projektowy i inżynieryjny OMV dostarcza produkty o wysokiej jakości, powstałe w wyniku głębokiego zrozumienia problemów użytkowników. Fabryka jest w stanie tworzyć idealne systemy przesyłowe dla różnych typów gospodarstw rolnych i hodowlanych, a także oferować złącza i akcesoria do irygacji, odwadniania i transportu w przemyśle ciężkim, specjalistycznym budownictwie, a nawet w przeciwdziałaniu skutkom klęsk żywiołowych.
System ANFOR posiada wszystkie zalety złączy dźwigniowych:
Dodatkowo do zalet złączy ANFOR, należy dodać:

Fot. Gotowe przewody z wykorzystaniem złączy ANFOR, po lewej stronie części męskie z króćcem do węża, po prawej, w głębi elementy żeńskie z króćcem.
System ANFOR znalazł szerokie zastosowanie w wielu obszarach działalności, zwłaszcza tam, gdzie doceniono łatwość jego obsługi, często w trudnych warunkach, wymagających sprawności i szybkości. Przykładem może być przeciwdziałanie skutkom powodzi. Złącza pozwalają na szybki montaż i demontaż, w trudnych warunkach, pod presją czasu. Szybkie uruchomienie instalacji wypompowującej szybko przybierającą wodę, może być kluczowe dla zabezpieczenia życia ofiar, ich mienia i dobytku. Dodatkowo, budowa takiej instalacji, może odbywać się bez konieczności zwracania uwagi, na stan zabrudzenia glebą złączy, a zanieczyszczona mułem, ziemią czy innymi cząstkami stałymi woda, nie wpłynie na stan połączenia złączy. Duże średnice złączy zapewniają większą przepustowość, a co za tym idzie, szybsze odprowadzenie i przepompowanie wody w miejsce, gdzie nie stanowi ona zagrożenia.

Fot. Przeciwdziałanie skutkom powodzi, za pomocą systemu ANFOR.
Złącza te doskonale sprawdzą się również w budownictwie ciężkim, przy osuszaniu pod fundamenty, kopaniu tuneli, budowie mostów i dróg, czy nawet budowie schronów i specjalistycznych wielkich konstrukcji przemysłowych. Zaletą stosowania dużych rozmiarów jest przepustowość, a łatwość montażu i demontażu instalacji opartych o ten system, pozwalają ograniczyć nakład pracy potrzebnej na jego obsługę.
Dzięki temu systemowi złączy, ekipa budowlana łatwo może obsługiwać różne lokalizacje zleceń, bez potrzeby uciążliwego montażu i demontażu instalacji za każdym razem, przy zmianie miejsca budowy.

Fot. Przykład zastosowania złączy przy osuszaniu wykopu pod fundamenty.
System ANFOR, wywodzi się z obsługi rolnictwa, zwłaszcza systemów obsługi hodowli i irygacji, gdzie sprawdził się właśnie ze względu na możliwość łączenia złączy w polowych warunkach, gdzie złącza podczas montażu instalacji narażone są na zanieczyszczenie glebą, piachem, czy też nawozem, a każda z takich instalacji, może zostać w miarę potrzeby, np. na czas żniw, zdemontowana i ponownie zmontowana w innym miejscu, lub kolejnym okresie wegetacji. Zabezpiecza to instalacje przed narażeniem na uszkodzenia mechaniczne, czy też zmniejsza okres wystawienia przewodów na warunki atmosferyczne, które mogą zmniejszyć jej żywotność. Zastosowanie dużych średnic złączy, staje się konieczne przy budowie wydajnych systemów irygacyjnych obsługujących duże areały.
Złącza te również sprawdzą się w dystrybucji nawozów naturalnych, za pomocą wozów asenizacyjnych, gdzie z powodzeniem mogą zastąpić popularne złącza STORZ, a ich odporność na zabrudzenia i możliwość łączenia pod kontem, znacząco ułatwią pracę zarówno przy pobieraniu nawozu z płyt gnojnych, jak i aplikację na polu.

Fot. Pobieranie wody ze zbiornika naturalnego, często zanieczyszczonej mułem, żwirem i drobinami organicznymi, przeznaczonej do podlewania, lub do celów gaśniczych.

Fot. Przykład rozbudowanego sytemu nawadniającego, opartego na wężach płaskich.

Fot. Przykład rolniczego wozu asenizacyjnego do aplikacji nawozów naturalnych, ze złączami dźwigniowymi OMV. Duża średnica zastosowana przy ramieniu do załadunku.
Kolejnym przykładem zastosowania dla złączy ANFOR, o dużych średnicach, jest budowa wydajnych systemów przeładunkowych, najczęściej w portach. W takich aplikacjach, jednym z najistotniejszych parametrów, jest duża przepustowość złączy, którą może zapewnić właśnie duża średnica tych złączy. Znacząco zmniejszy to czas przeładunku, a łatwość obsługi podczas przyłączania i rozłączania przewodów do instalacji, jeszcze bardziej skraca czas potrzebny na przeładunek.

Fot. Obsługa nabrzeży w portach.
W przypadku, gdy mają Państwo potrzebę zastosowania instalacji przesyłowych opartych o duże średnice rur i konieczność wysokiej przepustowości systemu, polecamy skontaktowanie się z jednym z naszych doradców technicznych, który doradzi dobór systemu i wspólnie z Państwem rozważy dobór odpowiednich zarówno złączy, jak i węży, które najlepiej będą w stanie sprostać Państwa oczekiwaniom i potrzebom. Posiadamy doświadczenie w obsłudze zleceń wielkogabarytowych, dla wielu wymagających klientów.

Fot. Węże płaskie o dużej średnicy na specjalnych ramach, przygotowane do transportu w siedzibie INTERTECH.